![[list:title]](/static/upload/image/20211111/1636627350980651.jpg)
![[list:title]](/static/upload/image/20211111/1636627350538656.jpg)
产品简介
羟乙基纤维素是以天然高分子材料纤维素为原料,经一系列化学加工而制得的非离子型水溶性聚合物,是一种微黄色或白色、无嗅、无味的粉状固体物质。

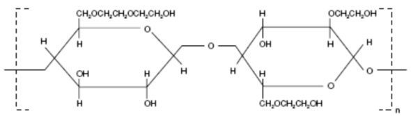
图1 羟乙基纤维素的理想结构

注:粘度均采用Brookfield粘度计,25℃、LV型测定。
产品命名规则

应用性能
增稠效率高,具有广泛的粘度品级可供选择,可以获得任何所需的增稠效率
良好的相容性,可与大多数无机盐以及种类广泛的树胶和树脂相溶
抗生物降解HEC产品具有极佳的稳定性,保证涂料储存过
良好的保护胶体活性,防止涂料中的固体粒子凝结
不溶物质含量少,水溶液清澈透明
粘度再现性稳定
.高纯度、低水分、低灰分
抗生物降解性能
HEC在酶作用下会发生降解,使粘度降低。使用优异的具有抗生物降解特性的HEC,会使粘度损失降至最低。

溶液特性
从最初的湿润至开始形成粘度称为HEC的水合时间。水合时间可被改变以满足特定的需要。其典型范围为4~25分钟,水合时间将受到pH值显著影响。

溶液特性
HEC最重要的性能是作为增稠剂,可以增加液体的粘度,而它的增稠性取决于它的浓度(如下图所示)。此外,不同粘度等级对增稠性的影响也可以清楚看见,在其他参数不变的情况下,HEC粘度随粘度等级增加而增加。

产品应用
胶乳的合成和水基涂料的配制
HEC在乳化涂料的组分中,可防止颜料的凝胶化,有助于颜料的分散,胶乳的稳定,并可提高组分的粘度。HEC与组分中的其他材料(如颜料、助剂、填料及盐类)具有较好的相容性。用HEC增稠的涂料在各种剪切速率下具有良好的流变性,并具有假塑性。可采有刷涂、辊涂、喷涂等施工方法。施工性好,不易滴落、流挂和飞溅,流平性也较好。
石油钻采
在石油钻采方面,高粘度HEC主要用作完井液和整理液的增粘剂。低粘度HEC用作降滤失剂。在钻井、完井、固井和压裂操作所需的各种操作液中,HEC作为增稠剂使泥浆获得良好的流动性和稳定性。钻井中可提高泥浆携岩屑能力,延长钻头的使用寿命。在低固相钻井、完井液中,HEC优良的降失水性能可防止大量水份从操作液中渗入井壁,可提高井壁稳定能力。
建筑
HEC可用于建筑产品如混凝土拌合物、新拌的砂浆、石膏灰泥或其他胶泥等,在它们凝结硬化前的施工过程中起到保水的作用。HEC除了提高建筑产品的保水性外,还可以延长灰泥或胶泥的改正和开放时间。能减少结皮、滑移和流挂现象。
日用化工
HEC在洗发剂、头发喷雾剂、中和剂、护发剂及化妆品中是一种有效的粘合剂、增稠剂、稳定剂和分散剂;在洗涤粉剂中是一种污物抗沉积剂。
高分子聚合
HEC在合成树脂的聚合或共聚组分中有分散、乳化、悬浮和稳定作用,可作为保护胶体之用。其特点是分散能力强,所得产品的颗粒“皮膜”较薄,粒度细、粒形均匀,呈疏松型,流动性好,产品透明度高、易于加工等。
其他
HEC其他用途包括造纸、纺织、乳胶添加剂和墙纸糊中。HEC应用于农药乳液和悬浮液配方中,作为喷雾乳液或悬浮液的增稠剂。HEC也可用作清洁剂、上光剂、电镀、油墨、杀虫剂、铅笔耐火材料、陶瓷、垫子的衬垫、烟草、焊药和焊剂。HEC也用作阻水粉剂以防止水分渗透到电缆中。
包装形式
包装采用内层聚乙烯塑料薄膜袋,外层三合一复合纸袋或纸桶;每袋净重25±0.25kg
储运注意事项
运输过程中注意防雨、防晒、防钩。
贮藏时放置于通风干燥处,注意防潮、勿与其它化学品混放。
本品易在潮湿空气中吸收水分,开包后,若未使用完,必须再度密闭包装并置于干燥处